Online Past Papers Grade 10
We call it awsum. Grade 10 Physical Science 2019 Revision Exam Papers and Memos.
2021 Grade 10 Previous Question Papers And Guides Apps On Google Play
Jude Shenal Wijesinghe March 6 2019 at 1149 PM.
Online past papers grade 10. 61 rows Academic Support. No need for a. Study notes are available as well.
Please upload western province papers grade 10 - 20161718. Some people call it school news. The Grade 10 past exam papers from 2010 2014 can be downloaded instantly.
Life Sciences Grade 10 past papers online lessons and revision notes. Unknown February 8 2019 at 141 AM. New technology and media an.
2nd Term 2018 Paper 1. Exam papers and Study notes for Maths Grade 10. Grade 10 Past Papers.
Free Grade 10 Online Lessons Classes Past Exams Papers and Notes. 1st Term Exam Papers Grade 10 May 1 2020 2020-05-01 2342. Grade - 10 History PAPER Part II.
Grade 10 Download grade 10 past papers grade 10 exam papers textbooks school syllabus teachers guide activity sheets in Sinhala English and Tamil Medium. Exam Dates Academic Timetables. Grade - 10 Science PAPER Part II.
Modern Classroom June 22 2021. Control Test 2 Retest. Verified 7 days ago.
Download grade 10 term test papers for the first term second term and third term test for Free. Economics Grade 12 Study Guide pdf free Download. The PDF file are less than 500 kb and can be downloaded onto your mobile devices or computers.
2nd Term 2018 Paper 2. Economics Grade 12 Study Guide pdf free Download. No need for a password.
Entry 1 to 30 of the 68 matching. Download Grade 10 Maths Past papers Sinhala medium with answers Grade 10 Maths Past Papers Term Test Papers and Model Papers Sinhala Medium Free PDF. 1st Term Exam Papers Grade 10 Grade - 10 Science PAPER Part I.
Grade - 10 Buddhism PAPER Part II. Grade 12 Past Exam papers ANA Exemplars Matric Results. Grade - 10 Buddhism PAPER Part I.
Grade 12 Study Guides and Learning Material PDF for Downloads Geography Grade 12 past papers and revision notes 2021 2020 20219 and more. Download free question papers and memos. 2nd Term 2018 Paper 3.
2019 බසනහර පළත Western Pro SMP1. Latest Grade 10 Resources. 1වන වරය 1st Term Test Papers.
The AWSUM Newspaper AWSUM App for Schools the 247 school news website and AWSUM Clashes. Physical ScienceGrade 10 Study Notes Past Year Exam Papers updated 20210803 GRADE 10 SCOPE 2021. The Grade 10 past exam papers from 2010 2014 can be downloaded instantly.
Download grade 10 English term test papers for the first term second term and third term test for Free. Grade 10 Maths Resources PDF download. Africas premier school network offers a multi-tiered communication platform to schools that include.
Past exam papers Grade 10. Free Grade 10 Online Lessons Classes Past Exams Papers and Notes. Grade - 10 History PAPER Part I.
The Grade 10 maths exam papers and answer sheets are downloadable in PDF. Grade 10 - English Download grade 10 English past papers grade 10 English exam papers textbooks school syllabus teachers guide activity sheets in Sinhala English and Tamil Medium. Geography Grade 10 past papers online lessons and revision notes.
Pls upload 2018 First Term-Western Pro-Grade10-II SM uploaded one is 1st part need the 2nd part pls. By providing we wish to make your education a success. The Economics exam consists of TWO 112 hour papers.
Government Term Test Papers GRADE 10 - NEW SYLLABUS - e ThaksalawaSouthern Provincial Education Department papers richmond papers english maths. List of Grade 10 Physical Science 2019 Revision Exam Papers and Memos CAPS South Africa. Curriculum Curriculum Assessment Policy Statements Practical Assessment Tasks School Based Assessment Mind the Gap Study Guides Learning and Teaching Support Materials.
Download Western Province Past Papers for FREE.

Grade 6 Olympiad Printable Worksheets Online Practice Online Tests And Problems Edugain Global

Papua New Guinea Education News Grade 8 Exam Papers Png

Pin On Past Papers And Answers A L O L
Grade 10 Examination Papers Png Papua New Guinea Education News

Pin On Past Papers And Answers A L O L

Grade 10 History Paper 2019 2nd Term Test North Central Province

Pin On Past Papers And Answers A L O L

Pin On Past Papers And Answers A L O L

Grade 12 General Maths Exam Papers Pdf Download Past Exams Exam Papers Maths Exam

Grade 7 Maths Unit Exam Papers Tamil Medium E Kalvi Exam Papers Maths Paper Math
Grade 10 Examination Papers Png Papua New Guinea Education News
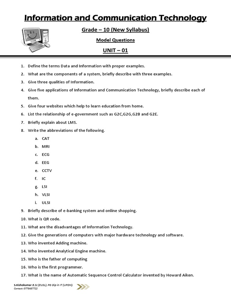
Grade 10 Ict Unit 1 New Syllabus Model Questions Information And Communications Technology Information Technology

Past Papers Grade 10 Past Papers Grade 10 Things
Grade 10 Examination Papers Png Papua New Guinea Education News
Grade 10 Examination Papers Png Papua New Guinea Education News
Grade 10 Examination Papers Png Papua New Guinea Education News

Grade 10 Tamil Past Papers E Kalvi


Post a Comment for "Online Past Papers Grade 10"